前一篇博客带来了基于大型语言模型(LLM)的新型异常用户行为检测方法,能在资源匮乏条件下检测新型攻击。本文将详细介绍评估LLMs在真实恶意软件活动的恶意代码解混淆能力,展示了大模型在有效去除载荷混淆方面的巨大潜力。实验表明,大模型能够自动准确地从真实的攻击活动中提取所需的危害指标,对于URL和相应的Dropper域名的准确率分别为69.56%和88.78%。注意,由于我们团队还在不断成长和学习中,写得不好的地方还请海涵,希望这篇文章对您有所帮助,这些大佬真值得我们学习。fighting!

原文作者:Constantinos Patsakis,Fran Casino,Nikolaos Lykousas原文标题:Assessing LLMs in malicious code deobfuscation of real-world malware campaigns原文链接:https://www.sciencedirect.com/science/article/pii/S0957417424017792发表期刊:Expert Systems With Applications(中科院SCI一区)研究机构:University of Piraeus
将大型语言模型(Large Language Models, LLMs)集成到网络安全工作流中正日益普及,这一趋势显著推动了自动化进程,减少了人工干预,并在某些任务中超越了人类专家的表现。鉴于其强大的语义理解与生成能力,研究者正积极探索LLMs在处理大规模异构数据中的潜力,尤其是在异常检测、规避识别、攻击缓解与欺诈防御等关键领域。凭借在代码生成、上下文解释及语义总结方面的卓越性能,LLMs为逆向工程与恶意代码去混淆任务提供了新的技术契机。
本研究系统评估了当前最先进LLMs的去混淆能力。我们基于臭名昭著的Emotet恶意软件运动,选取真实恶意脚本,对四种主流LLM进行了深入实验评估。结果表明,尽管现阶段的LLMs尚未达到完美精度,但在复杂载荷的去混淆方面展现出强大的潜力。研究强调了针对特定任务进行模型微调的重要性,指出其有望成为未来人工智能驱动威胁情报体系的关键组成部分,为混淆恶意软件的检测与解析提供新途径。本文的主要贡献包括:系统分析LLMs在恶意代码去混淆中的性能表现,识别其优势与局限;探讨LLMs在威胁情报体系中的集成与优化潜力;并基于真实世界攻击样本验证其实用性。实验结果显示,LLMs能够自动、准确地从真实攻击活动中提取关键妥协指标,对URL与Dropper域名的识别准确率分别达到69.56%和88.78%,验证了其在网络安全自动化中的应用前景。
大型语言模型(Large Language Models, LLM)在网络安全领域,尤其是恶意代码分析中展现出巨大潜力。随着人工智能(Artificial Intelligence, AI)和机器学习(Machine Learning, ML)技术的快速发展,LLM在处理海量异构数据、异常检测、规避识别、攻击缓解及欺诈防御等方面表现出显著优势。凭借其在代码生成、语义理解与上下文推理方面的强大能力,LLM为恶意软件分析与代码解混淆提供了全新的技术路径。
现代恶意软件常采用多层混淆技术以规避传统安全检测,而LLM能够通过深度语义建模和逻辑推断,对复杂代码进行有效解析,从而协助安全研究人员识别潜在威胁并显著提升恶意代码分析的效率。特别是在应对如Emotet等真实恶意软件样本的去混淆任务中,LLM已展现出优越的自动化解析能力。未来,LLM有望在威胁情报生成、攻击行为建模及自动防御策略优化等方面发挥重要作用,为网络安全智能化发展提供强有力支撑。
本文贡献可概括如下:
Emotet 是一个臭名昭著的恶意软件组织,以“恶意软件即服务”(MaaS,Malware-as-a-Service)模式运作。其传播链通常始于垃圾邮件中携带的恶意 Microsoft Office 文档,文档通过嵌入的 VBA 代码从受控的恶意站点(例如被篡改的 WordPress 站点)下载并执行后续的恶意二进制文件。Emotet 善于滥用操作系统中已签名的合法可执行文件与库(常称为 LOLBAS:Living-Off-The-Land Binaries, Scripts and Libraries),例如 Regsvr32.exe 与 Winword.exe,以规避传统检测机制并在用户不知情的情况下悄然执行恶意活动。

一旦主机被 Emotet感染,Emotet 会执行一系列横向扩散与情报窃取操作:包括枚举与窃取凭据、扫描并渗透同一网络内的其他主机,以及劫持电子邮件账户以传播至受害者的联系人列表。被感染主机通常被并入其僵尸网络(botnet),随后 Emotet 常作为载体下载或部署其他二次恶意负载(如 Qakbot、Dridex、TrickBot、Ryuk 等),以实现更高级的金融窃取、数据窃取或勒索盈利。通过僵尸网络与伙伴关系,Emotet 生态既可为其运营者带来赎金分成,也可作为资源共享平台,供其他威胁参与者利用被攻陷的主机与网络基础设施。

我们收集的恶意 Microsoft Office 文档首先通过 ViperMonkey 解析,以提取被混淆的 PowerShell 负载。随后,基于定制化的反混淆器对提取出的负载进行处理,获得初步的指标(IOC)列表与对应的 URL。为确保提取信息的准确性与完整性,这些 URL 会进一步交由网络威胁情报平台核验(例如威胁情报库或沙箱查询),以避免关键情报的遗漏或误报。
在确认基线真值后,我们将去混淆后的 PowerShell 有效负载作为输入,连同精心设计的提示语(prompt),提交给四种主流大型语言模型(LLM)执行去混淆解析并抽取相应的 URL 结果。最后通过与基线 IOC 列表进行逐条比对,量化评估各模型在 URL 抽取任务上的正确性和覆盖率,从而判断 LLM 在实际去混淆流程中的可靠性与适用边界。

在本研究中,提示工程(prompt engineering)被视为提升 LLM 去混淆性能的关键技术手段。针对恶意代码的语义复杂性与混淆策略的多样性,我们设计了精确、约束性强的提示模板,旨在引导模型识别混淆模式、恢复语义并优先输出与威胁情报相关的实体(如 URL、域名、命令序列等)。优化提示的目标包括:降低模型生成无关或虚构信息的概率、增强对隐式控制流和编码变换的解析能力、以及提高输出结果的可验证性。通过系统化的提示迭代与消融实验,我们证明了高质量提示不仅能显著提升去混淆的准确率,还能改善模型输出的一致性与可复现性,从而为将 LLM 有效纳入自动化威胁情报流程提供技术保障。

具体而言,这篇论文的核心方法围绕“利用大型语言模型(LLM)对真实恶意软件活动中的混淆脚本进行自动化解混淆”展开,并构建了一条可验证、可量化的威胁情报提取方法链。整体流程可概括为三个关键环节:

在实验环境搭建与样本处理阶段,研究人员在 Linux 虚拟机上部署 ViperMonkey 对恶意 Word 文档中的 VBA 宏进行解析与反混淆,以提取嵌入的 Base64 编码 PowerShell 载荷。对提取出的载荷完成解码后,采用 PWSH(Microsoft 在 Linux 平台的 PowerShell 实现)对脚本进行解析与静态分析,以恢复脚本语义并抽取其外联指标。该处理流程体现出良好的效率与扩展性;受经费限制,本次实验选取了 2000 个随机混淆的 PowerShell 脚本作为研究样本,并对这些脚本所通信的 URL(用于下载 Emotet 二进制文件)进行了集中分析。
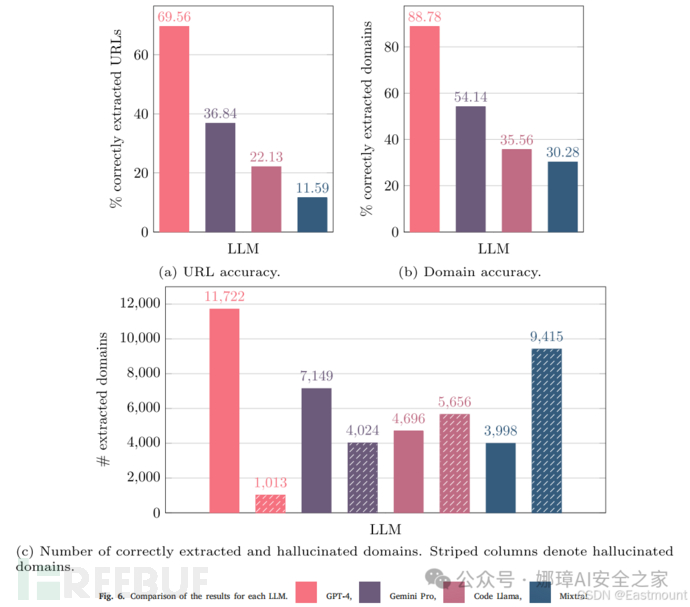
该图比较了四种大型语言模型(GPT-4、Gemini Pro、Code Llama、Mixtral)在从恶意代码中自动提取关键指标(URL 与域名)任务上的准确性表现。就URL 提取而言,GPT-4 显著领先,准确率达到 69.56%,远超其余模型;Gemini Pro 次之,准确率为 36.84%;而本地部署模型 Code Llama 与 Mixtral 的表现较弱,准确率分别为 22.13% 与 11.59%。该结果表明,在处理此类语义解析与去混淆任务时,GPT-4 在稳定性与精确性方面具有明显优势,而未经过专门调优的本地模型存在较大性能差距。
在域名提取任务中,模型间差距更加明显:GPT-4 再次表现最佳,准确率高达 88.78%;Gemini Pro 紧随其后,准确率为 54.14%;Code Llama 与 Mixtral 的准确率分别为 35.56% 与 30.28%。与 URL 提取结果一致,GPT-4 在识别和抽取关键域名信息方面表现尤为出色,表明其在捕捉恶意脚本中关键信息(如 Dropper 域名或恶意托管地址)时具有更强的语义理解与鲁棒性。
综上所述,实验结果反映出当前云端/大规模预训练模型(以 GPT-4 为代表)在恶意代码语义恢复与指标抽取任务中具有显著优势;而未经过领域微调或规模受限的本地模型在此类任务上的有效性相对不足,提示未来研究需关注模型适配、提示工程及领域微调以弥补差距。

GPT-4 在实验中表现出最为稳定的结果,其在不同样本中的 URL 提取准确率均接近 1,且整体成功率保持较高水准。相比之下,Gemini Pro 的表现存在一定波动,部分样本提取准确率较高,但整体稳定性不足。Code Llama 与 Mixtral 的表现则明显偏弱,尤其是 Mixtral,在多数样本中提取成功率较低,且波动幅度较大。这一结果表明,GPT-4 在恶意代码 URL 提取任务中展现出更强的鲁棒性与一致性,而其他模型在复杂混淆脚本的理解与解析方面仍存在显著局限。
与URL提取任务类似,GPT-4在域名提取任务中表现最为稳定且准确。Gemini Pro的成功率在域名提取上波动较大,部分样本成功率较高,而Code Llama和Mixtral的表现较差,且波动性较大,表明它们在提取域名时的不稳定性较高。
4.Shapiro-Wilk检验深入分析各LLM 的成功率后,我们进一步采用统计方法对模型表现进行验证。首先,通过 Shapiro–Wilk 正态性检验评估各模型成功率分布是否符合正态分布。结果显示,所有模型的成功率均显著偏离正态分布,且 p 值均接近 0。这一结果表明数据不具备正态性,不满足方差分析(ANOVA)所要求的基本假设条件。因此,传统基于正态分布前提的方差分析方法无法用于比较不同 LLM 的成功率差异。总体来看,结果强调了在评估模型性能时需采用非参数统计方法或其他适配分布特性的分析策略,以确保结论的有效性与稳健性。
5.Bonferroni-Dunn检验使用 Bonferroni-Dunn 检验对四种 LLM(Code Llama、GPT-4、Gemini Pro、Mixtral)在 URL 提取成功率上的表现进行成对比较后,结果显示不同模型之间的差异均具有显著统计意义。具体而言,Code Llama 与其他三种模型(GPT-4、Gemini Pro、Mixtral)的比较均呈现极低的 p 值,说明其成功率与其他模型存在显著差距。同样,GPT-4 与 Gemini Pro 以及 GPT-4 与 Mixtral 的比较也表现出显著统计差异,其中与 Mixtral 之间的差异尤为突出,p 值接近零。Gemini Pro 与 Mixtral 的差异同样通过统计检验得到确认。综上,Bonferroni-Dunn 检验结果表明四种 LLM 在 URL 提取任务中的成功率存在显著且系统性的差异,这些差异反映了模型性能本身的区别,而非由随机波动造成。

图9展示了一条面向恶意软件分析的增强型网络威胁情报处理管道。该流程以恶意Office文档为输入,通过沙箱或模拟器提取其中的混淆负载,并分别交由传统解混淆工具与LLM并行处理。传统方法负责结构化解析,而LLM负责补充性语义解读、关键指标提取及ATT&CK技术映射。二者输出在后端聚合,以实现更高的IOC完整性、上下文理解能力与多源佐证,提升整体情报提取的准确性与鲁棒性。

图11展示了LLM在解析恶意PowerShell脚本后生成的结构化威胁情报输出。模型能够以JSON格式提取关键IOC,包括下载URL、关联域名以及脚本对应的TTP,并进一步关联MITRE ATT&CK技术项。该结果表明LLM不仅能够执行语义级解混淆任务,还能对恶意行为进行功能性归纳与技术映射,为自动化威胁情报管道提供可直接消费的高层语义信息。

在恶意软件分析与对抗研究中,传统的静态与动态分析技术在面对现代恶意软件采用的多层混淆与规避机制时已愈发显得不足。
近年来,LLM 在网络安全领域的应用受到广泛关注,尤其是在恶意软件分析任务中。得益于其强大的语义理解与生成能力,LLM 能够处理大规模异构文本数据,对恶意脚本、混淆代码及相关上下文进行解释和推理。已有研究表明,LLM 在网络流量分析、入侵检测告警关联、钓鱼网站识别等任务中展现了良好潜力。在恶意代码去混淆方面,LLM 能够根据上下文推断隐藏逻辑、自动提取关键恶意信息,并对脚本执行链进行语义重建,为逆向工程提供新的技术路径。
尽管如此,LLM 在安全场景的应用仍面临挑战,包括生成错误内容(幻觉现象)、训练数据偏差导致的误判,以及在高对抗场景下可能被恶意输入诱导生成不可靠结果。因此,提高模型的可靠性、增强其在安全语料上的专门训练、减少幻觉输出,是未来研究的重要方向。总体而言,LLM 虽不能完全替代传统的解混淆工具,但可作为重要补充,显著提升恶意软件分析与威胁情报流程的自动化程度和适应性,为应对不断演化的恶意软件生态提供更具灵活性的智能支持。
本文研究表明,大型语言模型(LLM),尤其是 GPT-4,在恶意代码解混淆任务中展现出显著潜力。尽管当前的 LLM 仍不够完备,特别是在处理高度混淆或故意规避分析的恶意脚本时存在一定局限,但 GPT-4 依然能够高效且较为准确地提取恶意脚本中的 URL 与域名信息。这一结果突显了 LLM 在自动化恶意软件分析和威胁情报抽取中的应用前景,特别是其在提升提取效率与准确性方面的优势。同样值得注意的是,云端 LLM(如 GPT-4)的表现远优于本地部署的模型(如 Code Llama 与 Mixtral)。虽然后者在此次任务中的表现不佳且稳定性不足,但其仍具有通过任务微调提升性能的潜力,尤其适用于算力受限的环境。
LLM 不仅能在解混淆任务中发挥作用,也可作为传统分析工具的重要补充。其基于语义推理的能力使其能够自动提取恶意脚本关键要素,为现有的恶意软件分析与威胁情报系统提供有效支持。然而,LLM 仍面临挑战,包括:
因此,需要进一步提升模型的输入处理能力,并采用更具针对性的训练策略以降低错误输出概率。
未来研究方向应集中于降低幻觉现象、扩大可处理输入规模、优化训练数据质量,同时探索更加轻量化、高效的 LLM,以适应资源受限的应用需求。此外,将 LLM 与传统解混淆工具进行协同融合,构建更灵活、更高效的恶意软件分析流水线,也是提升整体能力的关键路径。总体来看,尽管 LLM 无法完全替代传统工具,但其在恶意代码分析自动化与威胁情报生成方面具有重要价值,并将在未来的恶意软件生态与攻击场景中发挥越来越关键的作用。
评价:整篇论文方法和深度较为简单,更多是利用大模型评估恶意代码解混淆的能力,创新性有待增强,并且框架图和实验需要丰富。但考虑类似期刊文章较少,也可以理解,同时部分描述和实验校验及部分案例图值得我们学习。此外,本团队在VBS、混淆流量、PowerShell、Webshell均有类似工作,建议应更多围绕混淆或高隐蔽恶意代码的特性进行描述和探索,同时解混淆方法较为单一,需要与的代表性工具及方法进行比较,提出一种大模型改进或融合的解混淆机制及方法,并在真实案例中进行对比实验。后续我们团队也将分享几个正在做的工作(录用后),欢迎大家交流与讨论,共同进步,fighting!