干网络安全这么久,你还不会拿CNVD原创漏洞证书?
安全的本质是攻防实战。无论是安全研发,还是安全服务,实战才是硬道理。网络安全的学习过程,就是不断在实战演练中积累实操经验的过程。除了通过开源安全项目学习外,通过在CNVD漏洞平台尝试挖洞是一条高效的实 2022-11-17 08:32:33 Author: 潇湘信安(查看原文) 阅读量:30 收藏

安全的本质是攻防实战无论是安全研发,还是安全服务,实战才是硬道理。网络安全的学习过程,就是不断在实战演练中积累实操经验的过程。
除了通过开源安全项目学习外,通过在CNVD漏洞平台尝试挖洞是一条高效的实战路径。不仅能提升实战经验,如果发现了原创漏洞还能够获得相应证书。总的来说有以下好处
① CNVD 原创漏洞证书可以通过证书编号到官网查询,是漏洞挖掘的能力证明。
② 在安全求职就业方面,比如将其写在简历中对于找工作是加分项。
③ 除此之外,在攻防演练、渗透测试等安全业务合作中,也属于“硬通货”。
小白如何轻松拿下CNVD原创漏洞证书?
CNVD是国家信息安全漏洞共享平台(China National Vulnerability Database,简称 CNVD),是由国家计算机网络应急技术处理协调中心(中文简称国家互联网应急中心,英文简称 CNCERT)联合国内重要信息系统单位、基础电信运营商、网络安全厂商、软件厂商和互联网企业建立的国家网络安全漏洞库。

CNVD整合了国家政府部门、重要信息系统用户、运营商、主要安全厂商、软件厂商、科研机构、公共互联网用户等等,共同建立了软件安全漏洞统一收集验证、预警发布及应急处置体系,既提升我国在安全漏洞方面的整体研究水平和及时预防能力,也带动国内相关安全产品的发展。

CNVD 漏洞主要分为事件型漏洞和通用型漏洞。挖洞思路无非以下三种:
1、查找网上公开漏洞库或漏洞平台,如:SeeBug 漏洞库、Exploit-db 漏洞库、PeiQi 漏洞库、CVND/CVE/CNNVD 平台等,查看国内外厂商已爆出的安全漏洞(Nday漏洞),针对公司注册资金5千万及以上的厂商,根据已爆出安全漏洞的系统再去挖掘出新的漏洞(通用或事件型漏洞)。
2、通过天眼查、企查查、爱企查等平台,筛选注册资金5千万及以上的公司,到网络空间资产测绘系统(FoFa、Zoomeye、360 等)搜索该公司相关通用资产,挖掘通用型漏洞(中危及以上)。
3、针对国内通信运营商(中国移动、中国电信、中国联通、中国铁塔),涉及党政机关、重要行业单位、科研院所、重要企事业单位(如:中央国有大型企业、部委直属事业单位等),挖掘事件型漏洞(高危)。
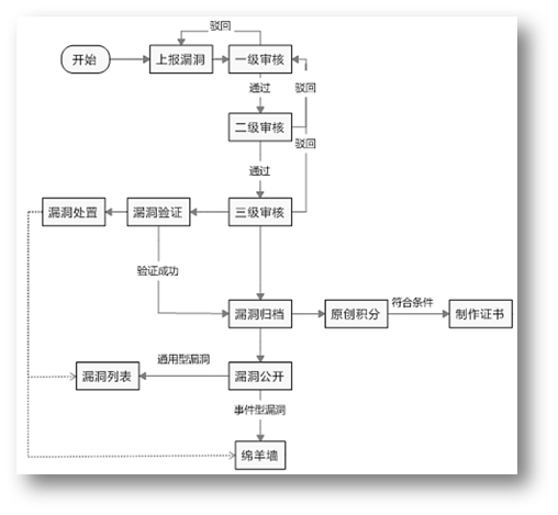
CNVD 原创漏洞审核处置流程涵盖审核归档、验证处置、公开披露、评分认证等多个环节。
CNVD 原创漏洞证书是为了肯定漏洞报送者(白帽子)在防范漏洞安全风险的积极作用,由 CNVD 官方制作并发布给报送者的电子证书。
看到这里,如果你想详细学习CNVD漏洞实操案例,进一步了解网络安全实战技术,那么欢迎来到 51CTO《网络安全3天实战营》课堂。
🔥🔥🔥
《网络安全实战特训营》
11月22日-24日 上课
  CNVD挖洞案例      OSINT情报搜集 
惊喜占座价 0.1 元!
更多安全实战技术,来参加训练营
网络安全实战大牛陈鑫杰在线等你

本训练营涵盖大量经典实战案例,旨在帮助学员快速学习CNVD实操要义,在生动的案例中对网络安全挖洞工作产生直观的体验。

如何快速学习网络安全技术?

如果你是一个安全行业新人,我推荐你先从网络安全或者Web安全/渗透测试这两个方向先学起,原因如下:
  • 第一,发展相对成熟入门比较容易。这两个方向当前有比较成熟的学科知识体系,对新手比较友好,入门学习简单;

  • 第二,市场需求量高。这两个方向在企业招聘和项目工作中应用广泛,如各大企业经常招募的安全服务工程师、Web安全工程师、渗透测试工程师、安全运维工程师等职位,主要技能栈就是网络安全和Web安全。

  • 第三,薪资待遇好。这两个方向的岗位薪资在安全行业也是非常可观的。

值得一提的是,学网络安全,是先网络后安全;学Web安全,也是先Web再有安全。安全不是独立存在的,而是建立在其他技术基础之上的上层应用技术。脱离了这个基础,就很容易变成纸上谈兵,变成“知其然,不知其所以然”,在安全的职业道路上也很难走远。
另外,学习Web安全方向需要有一定的编程基础,如果对代码没兴趣,建议走[网络安全]方向,学习网络安全方向不需要太多计算机编程功底(不是走研发路线而是走安全服务工程师路线),更多需要掌握常见安全网络架构、对网络协议和故障能抓包分析,对网络和安全设备能熟悉配置。
综上,如果你是原本从事网工运维,那么可以选择网络安全方向入门如果你原本从事程序开发,推荐选择Web安全/渗透测试方向入门当然学到一定程度、或者有了一定工作经验,不同方向的技术耦合会越来越高,各个方向都需要会一点。
这两个方向在整个行业内的薪资也相当可观:
左右滑动查看更多
或许你对网络安全行业和技术还有更多疑问:
• 网络安全到底包含那些技术?
• 如何获取网络安全实战经验?
• 如何进行网络空间信息情报搜集?
• 有哪些工具可以提升信息搜集效率?
为普及网络安全行业技术,51CTO联合国内一线网络安全实战大牛陈鑫杰老师,深度结合国内一线互联网、网络安全、政企单位的安全项目需求,经过为期1年的打磨与迭代,共同研发推出了这套深入浅出的网络安全职业实战课程《网络安全3天实战营》
🔥🔥🔥
《网络安全3天实战营》
11月22-24日 上课
限时占座 0.1 元!

(攻防实战+信息搜集+漏洞挖掘)

51CTO网络安全训练营

这门课真正能够帮助你科学体系化地学习攻防实战、信息搜集、漏洞挖掘等前沿安全技能,让你能够更轻松更快捷进入安全行业,改变你的职业轨迹。
本安全体验营涵盖hvv理论与实操详解、CNVD原创漏洞挖掘案例分享、开源情报搜集OSINT实战应用等多个热门前沿安全专题。
完成本体验营3天所有课程及作业考核,学员将学习一名入门级白帽子黑客所具备的技能:
• 学习真实hvv攻防实战理论与实操详解
• 攻防演练工作指南,工作箱推荐
• CNVD国家信息安全漏洞共享平台原创漏洞挖掘案例分享
• 开源情报收集OSINT实战应用
• 渗透项目中信息收集工具实战
• 主、被动信息收集渗透实战
我们的主讲老师陈鑫杰老师,具有多年一线互联网、金融 、政府等安全实战项目经验,擅长网络安全、Web安全、渗透测试、数字取证等领域,曾主导多个国土、电力等千万级项目;是全国多个地区的网警技术顾问,较早将网络安全技术应用于反诈防骗领域,多次协助警方破获大型诈骗团伙。 
得益于多年跨领域跨行业的网络安全实践经验,与各种黑灰产和电信诈骗的“贴身肉搏”经验,陈老师能够带领大家以”黑客“视角来学习安全知识,从原理到实践,从攻击到防御真正做到「知己知彼」,而非「纸上谈兵」
▼▼▼
这样一门干货满满、实操实战的课程
👇听完3天课程额外赠送👇
🔥🔥🔥
《网络安全3天实战营》
11月22-24日 上课
 限时占座价 0.1 元!

(攻防实战+信息搜集+漏洞挖掘)

文章来源: http://mp.weixin.qq.com/s?__biz=Mzg4NTUwMzM1Ng==&mid=2247499532&idx=1&sn=7f71419ead282743c36dec68134610f1&chksm=cfa55b1ff8d2d209c1e08532b1fd54d04a910d6efb9ca630fbe7031067aa3103fb56b7ede710#rd
如有侵权请联系:admin#unsafe.sh